氢作为一种清洁可再生能量载体,被广泛认为是最有希望代替化石燃料的新型能源。在当前众多制氢技术中,电解水制氢简单有效、可持续获得氢气;尤其是海水制氢,不仅有效利用了地球上丰富的海水资源,同时节约大量宝贵的淡水资源,对于沿海城市具有重要意义。然而,当前电解海水制氢仍面临析氢反应(HER)动力学缓慢,制氢效率低等问题,严重限制该技术的发展。
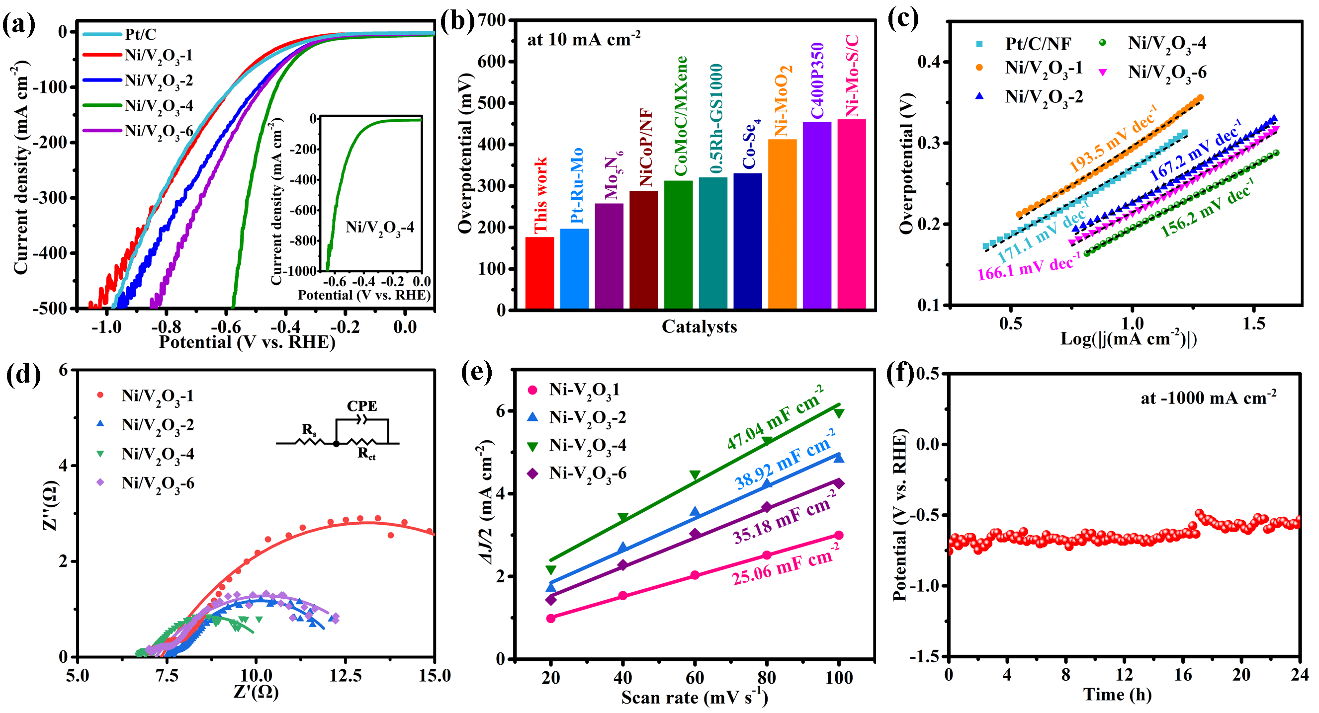
针对上述问题,姜鲁华团队致力于开发高效自驱动海水电解制氢系统。前期该团队创新性地开发了镁/海水电池耦合的自驱动海水制氢系统。(Nano Energy, 2022, 98, 107295, doi.org/10.1016/j.nanoen.2022.107295)在前期工作基础上,近日该团队构建了一种具有肖特基结特性的Ni/V2O3三维自支撑结构析氢电极(图1),利用界面处金属Ni和半导体V2O3形成的肖特基内建电场,有效促进HER过程中的电荷转移;此外,所形成的肖特基结使Ni和V2O3表面分别具有局部亲电和亲核特性,极大地促进了中性海水环境下水的解离。结果表明,作者设计的三维Ni/V2O3肖特基自支撑电极在海水介质中表现出超过商业Pt/C催化剂的HER活性,在10和1000 mA cm-2时过电位仅为176 mV和649 mV(图2)。

图1三维Ni/V2O3肖特基电极的构筑

图2三维Ni/V2O3肖特基电极对海水析氢的性能
进一步,作者将该电极作为镁/海水电池和海水电解单元的阴极,并将二者进行耦合,设计了一套基于Ni/V2O3肖特基电极的自驱动海水电解制氢系统(图3)。在该系统中,镁/海水电池为电解海水装置提供电能,电解海水装置和镁/海水电池的阴极共同产生氢气,制氢效率显著提升。结果表明,Ni/V2O3肖特基电极的镁/海水电池最大输出功率密度可达17.81 mW cm-2;所构建的镁/海水电池驱动的海水电解制氢系统产氢速率高达12.42 mL cm-2 h-1,镁-氢转换效率超过80.87%,是目前报导的最先进的自驱动海水制氢系统之一。

图3基于Ni/V2O3肖特基电极的自驱动海水制氢装置
该研究工作以“Self-powered electrolysis systems for sustainable hydrogen generation from natural seawater via a Ni/V2O3 Schottky electrode”为题发表于国际知名期刊Chemical Engineering Journal (https://doi.org/10.1016/j.cej.2022.138079,影响因子16.744),材料学院刘光波副教授为论文第一作者,姜鲁华教授为论文通讯作者,365英国上市官网在线为第一完成单位。
该研究得到山东省泰山学者工程(ts201712046)和国家自然科学基金(22179067)支持。